Xây nhà 2 tầng 100m2 hết bao nhiêu tiền là câu hỏi rất phổ biến và luôn được các gia đình quan tâm trước khi đi vào thiết kế và thi công nhà ở. Bài viết này của chúng tôi nhằm giải đáp thắc mắc của các gia đình về chi phí xây nhà 2 tầng, hi vọng sẽ giúp các gia đình tính toán được chi phí và lựa chọn mẫu nhà phù hợp với kinh tế của mình.
Khi nhắc tới “xây nhà 2 tầng 100m2 hết bao nhiêu tiền” nói riêng và chi phí xây nhà nói chung thì hoàn toàn không có một con số đúng đắn cho tất cả gia đình bởi vì mỗi gia đình sở hữu kích thước ô đất khác nhau, ưa thích phong cách kiến trúc khác nhau và nhu cầu công năng sử dụng đối với ngôi nhà 2 tầng cũng khác nhau. Hãy cùng Angcovat chúng tôi đi tìm hiểu về chi phí xây dựng của ngôi nhà 2 tầng 100m2 và các mẫu nhà 2 tầng 100m2 đẹp và tiện nghi nhất thông qua bài viết dưới đây.
Xem thêm: Mẫu nhà 1 trệt 1 lầu chữ L
Các nhân tố ảnh hưởng đến việc tính toán xây nhà 2 tầng 100m2 hết bao nhiêu tiền?
Như ở trên chúng tôi đã nói, chi phí xây nhà 2 tầng 100m2 phụ thuộc vào rất nhiều yếu tố như: phong cách kiến trúc, thời điểm xây dựng, địa điểm xây dựng… hãy cùng chúng tôi phân tích kỹ hơn về các nhân tố này nhé.
Một là, ảnh hưởng của phong cách kiến trúc đến việc xây nhà 2 tầng hết bao nhiêu tiền:
Hiện nay có 3 phong cách kiến trúc cơ bản và phổ biến cho các gia đình lựa chọn đó là: phong cách hiện đại, phong cách tân cổ và phong cách cổ điển. Điểm khác nhau cơ bản giữa 3 phong cách kiến trúc này là: phong cách hiện đại chú trọng đến sự đơn giản và vẻ đẹp về hình khối với những mảng tường phẳng được sắp xếp hợp lí dưới bàn tay tài hoa của kiến trúc sư. Đối với phong cách tân cổ và cổ điển thì ngược lại, ngôi nhà được xây dựng theo phong cách này sẽ có nhiều chi tiết hoa văn phào chỉ và có thêm cột, lan can, ban công được trang trí nhiều hoa văn. Chính yếu tố này cũng sẽ ảnh hưởng tới cách tính xây nhà 2 tầng 100m2 hết bao nhiêu tiền. Thông thường thì các ngôi nhà được thiết kế theo phong cách tân cổ hoặc cổ điển sẽ tốn nhiều vật tư và nhân công lao động hơn so với kiến trúc hiện đại vì vậy giá thành hoàn thiện cũng sẽ đắt hơn. Trong quá trình thiết kế nhà ở, gia đình nên cân nhắc kỹ lưỡng đến khả năng kinh tế của gia đình để lựa chọn phong cách kiến trúc phù hợp.
Hai là, địa điểm xây dựng ảnh hưởng tới tính toán xây nhà 2 tầng 100m2 hết bao nhiêu tiền
Chắc chắn có nhiều người nghĩ rằng: xây nhà ở vị trí nào, địa điểm nào thì chi phí cũng giống nhau cả. Tuy nhiên địa điểm xây dựng cũng là 1 trong số các nhân tố ảnh hưởng đến việc tính toán xây nhà 2 tầng 100m2 hết bao nhiêu tiền. Chúng ta có thể hiểu một cách đơn giản như sau:
+ Mỗi ngôi nhà sẽ được xây dựng ở những vị trí khác nhau do vậy mà nền địa chất của từng ngôi nhà cũng sẽ khác nhau. Có ngôi nhà được xây dựng trên nền địa chất chắc khỏe nhưng cũng có ngôi nhà được xây dựng trên nền địa chất yếu, tùy thuộc vào nền địa chất khác nhau mà kiến trúc sư sẽ đưa ra quyết định lựa chọn các loại móng khác nhau, có thể là móng cọc, móng băng… chính vì vậy mà chi phí xây nhà cũng sẽ khác nhau.
+ Nước ta có tổng cộng 63 tỉnh thành, mỗi tỉnh lại có hàng chục huyện và tất nhiên giá nhân công ở mỗi địa phương là khác nhau. Ở khu vực thành phố giá nhân công thường cao hơn so với vùng nông thôn, điều này hoàn toàn phù hợp với trình độ phát triển kinh tế của mỗi vùng. Vì vậy, gia đình cũng cần lưu ý đến vấn đề này, trong trường hợp gia đình ở nông thôn thì có thể tiết kiệm được 1 khoản thuê nhân công nhưng nếu gia đình ở thành phố thì tiền thuê nhân công sẽ phải tính tăng lên so với mức giá trung bình của cả nước.
Ba là, Thời điểm xây dựng ảnh hưởng trực tiếp đến cách tính toán xây nhà 2 tầng 100m2 hết bao nhiêu tiền
Thời điểm xây nhà cũng là 1 trong các yếu tố ảnh hưởng đến chi phí xây nhà 2 tầng 100m2 bởi vì ở mỗi thời điểm khác nhau sẽ có mức giá nhân công và vật liệu khác nhau. Giá cả trên thị trường luôn luôn biến động và thường có xu hướng là tăng cao trong mùa xây dựng vì nhu cầu của người dân lớn. Vì vậy, gia đình bạn nên tìm hiểu và nhờ các công ty kiến trúc tư vấn hoặc sử dụng dịch vụ xây nhà chọn gói để có giá thành hợp lí nhất.
Tham khảo: Thiết kế lâu đài
Cách tính toán xây nhà 2 tầng 100m2 hết bao nhiêu tiền chi tiết nhất
Để có thể tính toán được chi phí xây nhà 2 tầng 100m2 hết bao nhiêu tiền thì các bạn có thể tham khảo các công thức tính dưới đây:
Thứ nhất, tính diện tích:
+ Diện tích móng: Diện tích móng sẽ = ½ diện tích tổng, tương đương 50m2
+ Diện tích tầng 1: Diện tích tầng 1 sẽ = diện tích tổng, tương đương 100m2.
+ Diện tích tầng 2: Diện tích tầng 2 sẽ = diện tích tổng, tương đương 100m2.
* Lưu ý: tùy vào từng loại mái hoặc dựa theo các phương án thiết kế kiến trúc khác nhau mà sẽ có mức tính diện tích tổng khác nhau. Cách tính trên đây của chúng tôi dựa vào mức trung bình theo những mẫu nhà thông dụng.
Thứ hai, xác định đơn giá xây dựng:
+ Đơn giá xây dựng phần thô: 2.800.000 đến 3.200.000 (VNĐ/m2): Xây dựng phần thô là hình thức xây dựng hoàn thiện khung nhà, ngôi nhà hoàn thiện ở mức cơ bản, còn thiếu các chi tiết trang trí và ngoại thất.
+ Đơn giá xây dựng trọn gói: 4.300.000 – 5.000.000 (VNĐ/m2): Xây dựng chọn gói hay còn được gọi là hình thức chìa khóa trao tay, là hình thức xây dựng hoàn thiện nhà ở và tiến hành bàn giao cho chủ nhà khi đã hoàn thiện xong.
* Lưu ý: Tùy vào vị trí địa lí của mỗi vùng miền mà sẽ có đơn giá xây dựng nhà ở khác nhau, vì vậy chúng tôi chỉ đưa ra khoảng đơn giá nhất định cho các gia đình tham khảo, để biết chính xác chi phí xây dựng nhà 2 tầng 100m2 hết bao nhiêu tiền thì gia đình nên gặp và hỏi trực tiếp bên thi công nhà ở.
Tính toán chi phí xây dựng nhà 2 tầng 100m2
Dựa vào diện tích và đơn giá xây dựng, chúng ta có thể tính toán được chi phí xây dựng nhà 2 tầng 100m2 như sau:
+ Chi phí xây dựng phần thô: (50m2 + 100m2 + 100m + 50m2) x 2.800.000 = 840.000.000 (VNĐ)
+ Chi phí xây dựng chọn gói: (50m2 + 100m2 + 100m + 50m2) x 4.300.000 = 1.290.000.000 (VNĐ)
Xem ngay: Nhà 2 tầng kiểu Pháp
Giải đáp thắc mắc xây nhà 2 tầng 100m2 hết bao nhiêu tiền thông qua các mẫu biệt thự 2 tầng đẹp
Mẫu số 1: Gợi ý câu trả lời xây nhà 2 tầng 100m2 hết bao nhiêu tiền thông qua mẫu biệt thự 2 tầng mái thái ở Hà Nội
Một vài thông tin về mẫu nhà 2 tầng mái thái ở Hà Nội


Phối cảnh ngoại thất đẹp: Xây nhà 2 tầng 100m2 hết bao nhiêu tiền
Mẫu nhà 2 tầng 100m2 trên đây được thiết kế theo phong cách kiến trúc tân cổ, thể hiện qua hình khối và màu sắc mà kiến trúc sư đã sử dụng. Phong cách kiến trúc tân cổ điển được nhiều gia đình ưa thích và lựa chọn bởi vẻ đẹp hoài cổ nhưng vẫn đảm bảo sự sang trọng, tân tiến. Mặt tiền của ngôi nhà 2 tầng trên đây nổi bật với tone màu vàng nhạt kết hợp sắc nâu nạt tạo nên sự độc đáo, mới lạ cho ngôi nhà của gia đình bạn. Trong hình khối, chúng tôi vẫn lấy sự cân đối, vuông vắn là trọng tâm để tạo nên sự nổi bật cho ngôi nhà 2 tầng kiến trúc tân cổ này. Kiến trúc mái thái được sử dụng cho ngôi nhà nhằm tạo nên sự kiên cố, vững trãi và giúp bảo vệ ngôi nhà tránh khỏi các tác động tiêu cực của tự nhiên. Mái ngói thái với màu đỏ tươi càng làm cho ngôi nhà nổi bật hơn giữa thiên nhiên xung quanh.

Mặt bằng nội thất tầng 1: Xây nhà 2 tầng 100m2 hết bao nhiêu tiền
Tầng 1 của mẫu nhà 2 tầng 100m2 bao gồm các phòng chức năng sau: 1 phòng khách, 1 phòng bếp ăn, 1 phòng ngủ và 1 khu vệ sinh khép kín.

Mặt bằng nội thất tầng 2: Xây nhà 2 tầng 100m2 hết bao nhiêu tiền
Tầng 2 của ngôi nhà được thiết kế với 1 phòng thờ, 3 phòng ngủ, trong đó 2 phòng ngủ có nhà vệ sinh khép kín còn phòng ngủ cạnh phòng thờ không được thiết kế nhà vệ sinh. Cách thiết kế như trên hoàn toàn phù hợp với phong thủy bởi vì không gian thờ cúng nên được đặt tránh xa các phòng vệ sinh.
Tham khảo: Mẫu nhà 1 tầng có gác lửng
Mẫu số 2: Xây nhà 2 tầng hết bao nhiêu tiền ở Hải Dương
Một số thông tin về mẫu nhà 2 tầng mặt tiền 8m ở Hải Dương
+ Mẫu biệt thự: BT313117
+ Số tầng: 02
+ Chủ đầu tư: Anh Thuận
+ Địa chỉ: Hải Dương
+ Mặt tiền: 8m
+ Chiều sâu: 14m
+ Kích thước ô đất: 12x21m
+ Kiến trúc sư thiết kế: Kiến trúc sư Angcovat
+ Năm thi công: 2017
+ Chi phí đầu tư dự kiến: khoảng 1.4 tỷ đồng
+ Thông số diện tích, công năng:
- Tầng 1: Sảnh chính, phòng khách + thờ 30m2, sảnh trung tâm, phòng bếp ăn 19m2, WC1 3m2, phòng ngủ 1 16m2.
- Tầng 2: Sảnh tầng 5m2, phòng ngủ 2 16m2, phòng ngủ 3 13m2, phòng ngủ vip 32m2, WC2 4m2, WC3 6m2, sinh hoạt chung.
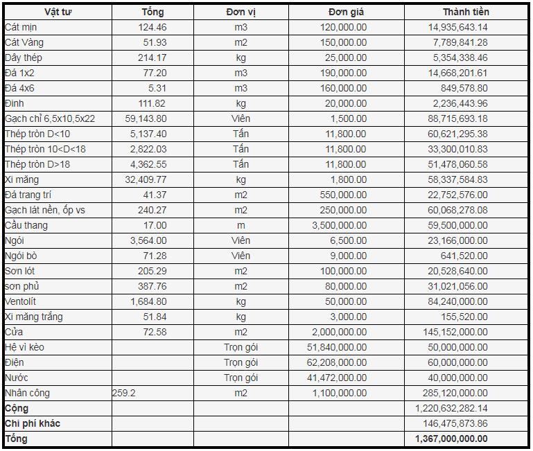
Tham khảo chi tiết bảng tính vật tư công trình để trả lời câu hỏi xây nhà 2 tầng hết bao nhiêu tiền
+ Diện tích sàn 1 sàn: 108m2
+ Diện tích tổng (bao gồm sảnh, mái): 259.2m2
* Trường hợp có hệ mái thái vì kèo = 40% sàn xây dựng

Bằng chữ: Một tỷ ba trăm sáu mươi bảy triệu đồng
Giá tạm tính:
* Đơn giá trung bình xây dựng cho công trình này: 5.273.919,75 (Triệu/m2)
* Trường hợp chỉ làm vì kèo lợp ngói, đóng trần chi phí là: 1.230.300.000,00
* Trường hợp đổ bê tông mái bằng và mái dốc, chi phí là: 1.503.700.000,00
Ghi chú:
* Thông số khối lượng tính toán trên chỉ mang tính chất tham khảo
* Đơn giá vật tư ở mức hoàn thiện cơ bản trung bình
* Đơn giá trên là đơn giá chủ đầu tư trực tiếp thi công
* Chi phí khác: Đào móng, lấp cọc, ép cọc, phát sinh công,… =10-15% chi phí tổng
Chú ý:
+ Bạn để lại diện tích nhà dự tính xây dựng và địa chỉ email ở phần bình luận (comment) phía dưới mỗi bài viết.
+ Chúng tôi sẽ tính toán và gửi đến bạn bảng chi phí xây dựng dự kiến cho gia đình mình.

Ngắm nhìn ngoại thất mẫu nhà 2 tầng ở Hải Dương: Xây nhà 2 tầng hết bao nhiêu tiền

Xây nhà 2 tầng 100m2 hết bao nhiêu tiền: Mặt bằng tổng thể mẫu nhà 2 tầng ở Hải Dương

Xây nhà 2 tầng 100m2 hết bao nhiêu tiền: Mặt bằng tầng 1 mẫu nhà 2 tầng ở Hải Dương

Mặt bằng nội thất tầng 2: Xây nhà 2 tầng 100m2 hết bao nhiêu tiền
Tham khảo: Nhà 2 tầng nhỏ xinh
Mẫu số 3: Xây nhà 2 tầng 100m2 hết bao nhiêu tiền ở Hưng Yên
Một số thông tin về mẫu nhà 2 tầng ở Hưng Yên
+ Mẫu biệt thự: BT527046
+ Số tầng: 02
+ Chủ đầu tư: Ông Thái
+ Địa chỉ: Hưng Yên
+ Mặt tiền: 8.5m
+ Chiều sâu: 12.5m
+ Kích thước ô đất: 584m2
+ Kiến trúc sư thiết kế: Kiến trúc sư Angcovat
+ Năm thi công: 2016
+ Chi phí đầu tư dự kiến: khoảng 1.3 tỷ đồng
+ Thông số diện tích, công năng:
- Tầng 1: 1 phòng ngủ, 1 phòng vệ sinh, 1 phòng khách, 1 phòng bếp ăn
- Tầng 2: 2 phòng ngủ, 2 phòng vệ sinh, 1 phòng thờ, 1 phòng karaoke

Hình ảnh phối cảnh ngoại thất: Xây nhà 2 tầng hết bao nhiêu tiền ở Hưng Yên
Với chi phí khoảng 1.3 tỷ đồng, gia đình bạn có thể sở hữu mẫu nhà 2 tầng 100m2 mái thái đẹp ở Hưng Yên trên đây, tuy nhiên chưa bao gồm đồ đạc nội thất bên trong, vì vậy gia đình cần phải cân nhắc kỹ lưỡng khả năng kinh tế hiện có của gia đình để có được không gian sống đáng mơ ước.

Tổng mặt bằng định vị: Xây nhà 2 tầng 100m2 hết bao nhiêu tiền
Mẫu số 4: Giới thiệu mẫu nhà 2 tầng ở Hà Nội – xây nhà 2 tầng 100m2 hết bao nhiêu tiền
Một số thông tin về mẫu nhà 2 tầng mặt tiền 8m, 4 phòng ngủ ở Hà Nội
+ Mẫu biệt thự: BT314018
+ Số tầng: 02
+ Chủ đầu tư: Anh Vũ Đình Nam
+ Địa chỉ: Mỹ Đức – Hà Nội
+ Mặt tiền: 8m
+ Chiều sâu: 18m
+ Kích thước ô đất: 8.5x20.4m
+ Kiến trúc sư thiết kế: Kiến trúc sư Angcovat – Trần Đức Kiên
+ Năm thi công: 2018
+ Chi phí đầu tư dự kiến: khoảng 1.5 tỷ đồng
+ Thông số diện tích, công năng:
- Tầng 1: Tiền sảnh (6.5m2), phòng khách (32m2), sảnh trung tâm (9.5m2), sảnh phụ (4.5m2), phòng bếp (14.5m2), phòng ngủ (14.5m2), WC1 (5m2).
- Tầng 2: Phòng SHC (12m2), sân chơi (4.2m2), phòng ngủ 2 (12.5m2), WC2 (5m2), phòng ngủ 3 (12.6m2), WC3 (3.3m2), phòng ngủ 4 (16.5m2), sân chơi (6.6m2), phòng thờ (12m2).
Bảng tính vật tư công trình mẫu nhà biệt thự 2 tầng 8m mặt tiền ở Hà Nội
+ Diện tích 1 sàn: 115m2
+ Diện tích tổng (bao gồm mái, sảnh): 276m2
* Trường hợp có hệ mái thái vì kèo = 40% sàn xây dựng

Giá trị tạm tính: Bằng chữ: Một tỷ bốn trăm tám mươi tư triệu
+ Đơn giá trung bình xây dựng cho công trình này: 5.367.811,59 (Triệu/m2)
+ Trường hợp chỉ làm vì kèo lợp ngói, đóng trần chi phí là: 1.335.600.000,00
+ Trường hợp đổ bê tông mái bằng và mái dốc, chi phí là: 1.632.400.000,00

Phối cảnh 3D nhà 2 tầng ở Hà Nội – xây nhà 2 tầng 100m2 giá bao nhiêu tiền

Mặt bằng tầng 1 mẫu nhà 2 tầng 8m mặt tiền ở Hà Nội – xây nhà 2 tầng 100m2 hết bao nhiêu tiền

Mặt bằng tầng 2 mẫu nhà 2 tầng 8m mặt tiền ở Hà Nội – xây nhà 2 tầng 100m2 hết bao nhiêu tiền
Xem ngay: Bản vẽ thiết kế nhà ống 2 tầng 1 tum
Mẫu số 5: Trả lời câu hỏi xây nhà 2 tầng 100m2 hết bao nhiêu tiền thông qua mẫu nhà 2 tầng mái thái 5 phòng ngủ ở Hà Tĩnh
Tóm tắt thông tin về mẫu nhà 2 tầng mái thái 5 phòng ngủ ở Hà Tĩnh
+ Mẫu biệt thự: BT214018
+ Số tầng: 02
+ Chủ đầu tư: Anh Hạnh
+ Địa chỉ: xã Đức Hòa – huyện Đức Thọ - tỉnh Hà Tĩnh
+ Mặt tiền: 8m
+ Chiều sâu: 14.5m
+ Kích thước ô đất: 25x47m
+ Kiến trúc sư thiết kế: Kiến trúc sư Angcovat – Phạm Tiểu Thư
+ Năm thi công: 2018
+ Chi phí đầu tư dự kiến: khoảng 1.4 – 1.5 tỷ đồng
+ Thông số diện tích, công năng:
- Tầng 1: Đại sảnh, phòng khách (25m2), phòng ăn (20m2), sảnh trung tâm (10m2), phòng bếp (12m2), WC1 (3.5m2), phòng ngủ 1 (12m2).
- Tầng 2: Sảnh thang (3.6m2), phòng ngủ 2 (15m2), WC2 (4m2), phòng ngủ 3 (14m2), phòng ngủ 4 (9.5m2), sân chơi, phòng ngủ bố mẹ (20m2), ban công.
Bảng tính vật tư công trình mẫu nhà 2 tầng mái thái 5 phòng ngủ đẹp ở Hà Tĩnh
+ Diện tích sàn: 115m2
+ Diện tích tổng (bao gồm sảnh, mái): 276m2
* Trường hợp có hệ mái thái vì kèo = 40% sàn xây dựng

Giá trị tạm tính: Bằng chữ: Một tỷ bốn trăm bốn mươi lăm triệu đồng
+ Đơn giá trung bình xây dựng cho công trình này: 5.235.507,25 (Triệu/m2)
+ Trường hợp chỉ làm vì kèo lợp ngói, đóng trần chi phí là: 1.300.500.000,00
+ Trường hợp đổ bê tông mái bằng và mái dốc, chi phí là: 1.589.500.000,00

Phối cảnh ngoại thất mẫu nhà 2 tầng mái thái ở Hà Tĩnh – xây nhà 2 tầng 100m2 hết bao nhiêu tiền

Mặt bằng tầng 1 mẫu nhà 2 tầng mái thái ở Hà Tĩnh – xây nhà 2 tầng 100m2 hết bao nhiêu tiền

Mặt bằng tầng 2 mẫu nhà 2 tầng 5 phòng ngủ ở Hà Tĩnh – Xây nhà 2 tầng 100m2 hết bao nhiêu tiền
Tham khảo: Nhà phố 3 tầng 5m mặt tiền
Mẫu số 6: Mẫu nhà 2 tầng đẹp ở Hải Dương – xây nhà 2 tầng giá bao nhiêu tiền

Phối cảnh ngoại thất, mẫu nhà 2 tầng đẹp ở Hải Dương – Xây nhà 2 tầng 100m2 hết bao nhiêu tiền
Mẫu biệt thự vườn 2 tầng trên đây được kiến trúc sư của chúng tôi thiết kế cho chủ đầu tư là anh Tuyển ở Hải Dương với mặt tiền 7m, chiều sâu 16m, chi phí dự kiến khoảng 1.3 tỷ đồng. Ngoại thất của ngôi nhà nổi bật với gam màu trắng chủ đạo, phù hợp với mệnh và tuổi của chủ nhà. Kiến trúc của mẫu biệt thự đẹp trên đây nổi bật với hình dáng vuông vắn, khối kiến trúc sạch và đẹp mắt. Cảnh quan sân vườn được quy hoạch khá hợp lí và phù hợp với kích thước ô đất mà gia đình đang sở hữu, đem đến không gian sống tuyệt vời cho gia chủ.

Mặt bằng tầng 1 của mẫu nhà 2 tầng đẹp ở Hải Dương – Xây nhà 2 tầng 100m2 hết bao nhiêu tiền

Mặt bằng tầng 2 của mẫu nhà 2 tầng đẹp ở Hải Dương: Xây nhà 2 tầng 100m2 hết bao nhiêu tiền.
Mẫu số 7: Mẫu nhà 2 tầng kích thước 10x12m mái thái – xây nhà 2 tầng 100m2 hết bao nhiêu tiền
Một số thông tin về mẫu biệt thự 2 tầng kích thước 10x12m2 mái thái ở Hà Nội
+ Mẫu biệt thự: BT213107
+ Số tầng: 02
+ Chủ đầu tư: Nguyễn Xuân Tú
+ Địa chỉ: Định Công – Hoàng Mai – Hà Nội
+ Mặt tiền: 10m
+ Chiều sâu: 12m
+ Kích thước ô đất: 24x19m
+ Kiến trúc sư thiết kế: Kiến trúc sư Angcovat
+ Năm thi công: 2017
+ Chi phí đầu tư dự kiến: khoảng 1.3 – 1.4 tỷ đồng
+ Thông số diện tích, công năng:
- Tầng 1: Tiền sảnh, phòng khách (25m2), phòng ăn (18m2), sảnh phụ (6m2), phòng bếp (7.5m2), WC1 (4.5m2), phòng ngủ 1 (20m2).
- Tầng 2: Phòng thờ (16m2), phòng ngủ 2 (15m2), phòng ngủ 3 (15.5m2), phòng ngủ 4 (11m2), ban công 2 (4.7m2), WC2 và WC3 có diện tích là 3.8m2.

Phối cảnh ngoại thất nhà 2 tầng kích thước 10x12m – xây nhà 2 tầng hết bao nhiêu tiền
Như chúng tôi đã tính toán ở trên, để sở hữu ngôi nhà 2 tầng này gia đình bạn cần phải đầu tư khoảng từ 1.3 đến 1.4 tỷ đồng (chưa bao gồm nội thất trong nhà).

Mặt bằng công năng tầng 1 – xây nhà 2 tầng hết bao nhiêu tiền

Mặt bằng công năng tầng 2: Xây nhà 2 tầng 100m2 hết bao nhiêu tiền
Xem ngay: Mặt tiền nhà 1 trệt 2 lầu đẹp
Mẫu số 8: Xây nhà 2 tầng 100m2 hết bao nhiêu tiền? Câu trả lời được thể hiện qua mẫu nhà 1 trệt 1 lầu sang trọng dưới đây
Một số thông tin về mẫu nhà 1 trệt 1 lầu 100m2 mái ngói thái đẹp
+ Mẫu biệt thự: BT111068
+ Số tầng: 02
+ Chủ đầu tư: Ông Triệu Đức Thông
+ Địa chỉ: Phường Đức Xuân- TP Bắc Kạn- Tỉnh Bắc Kạn
+ Mặt tiền: 10m
+ Chiều sâu: 12m
+ Kích thước ô đất: 10x15.6m
+ Kiến trúc sư thiết kế: Kiến trúc sư Angcovat – kiến trúc sư Phương
+ Năm thi công: 2018
+ Chi phí đầu tư dự kiến: khoảng 1.2 – 1.3 tỷ đồng
+ Thông số diện tích, công năng:
- Tầng 1: Sảnh chính (9.5m2), phòng khách (20m2), phòng bếp ăn (21.5m2), phòng ngủ 1 (19m2), WC1 (4m2)
- Tầng 2: Phòng ngủ 2 (19m2), WC2 (4m2), sảnh tầng (7.5m2), phòng ngủ 3 (13m2), sân phơi (8m2), phòng thờ (13.5m2)
Bảng thống kê vật tư xây dựng tạm tính mẫu nhà 1 trệt 1 lầu 100m2 mái ngói thái đẹp
+ Diện tích sàn 1 sàn: 100m2
+ Diện tích tổng (bao gồm sảnh, mái): 240m2
* Trường hợp có hệ mái thái vì kèo = 40% sàn xây dựng

Bằng chữ: Một tỷ ba trăm mười tám triệu đồng
Giá trị tạm tính:
* Đơn giá trung bình xây dựng cho công trình này: 5.437.293.73 (Triệu/m2)
* Trường hợp chỉ làm vì kèo lợp ngói, đóng trần, chi phí là: 1.186.200.000.00
* Trường hợp đổ bê tông mái bằng và mái dốc chi phí là: 1.449.800.000.00

Ngoại thất nhà 2 tầng 100m2 mái thái – xây nhà 2 tầng 100m2 hết bao nhiêu tiền
Mẫu số 9: Giới thiệu mẫu nhà 1 trệt 1 lầu 4 phòng ngủ đẹp ở Cao Bằng – xây nhà 2 tầng 100m2 hết bao nhiêu tiền

Phối cảnh ngoại thất nhà 1 trệt 1 lầu 4 phòng ngủ đẹp ở Cao Bằng – xây nhà 2 tầng 100m2 hết bao nhiêu tiền
Một số thông tin về mẫu nhà 1 trệt 1 lầu 4 phòng ngủ đẹp ở Cao Bằng
+ Mẫu biệt thự: BT515058
+ Số tầng: 02
+ Chủ đầu tư: Nguyễn Thái Quý
+ Địa chỉ: Hòa An – Cao Bằng
+ Mặt tiền: 10m
+ Chiều sâu: 12m
+ Kích thước ô đất: 21x19m
+ Kiến trúc sư thiết kế: Kiến trúc sư Angcovat
+ Năm thi công: 2018
+ Chi phí đầu tư dự kiến: khoảng 1 – 1.1 tỷ đồng
+ Thông số diện tích, công năng:
- Tầng 1: Sảnh chính (4.5m2), phòng khách (25m2), kho (4.5m2), phòng ngủ 1 (18m2), phòng ngủ 2 (16m2), WC1 (4.5m2)
- Tầng 2: WC2 (7m2), sảnh tầng (6m2), phòng ngủ 3 (16m2), phòng ngủ 4 (14m2), sân chơi (13m2), phòng thờ (18m2), ban công (4m2)
Tham khảo: Mẫu biệt thự hiện đại
Mẫu số 10: Mẫu nhà 2 tầng giá rẻ ở Nam Định – xây nhà 2 tầng hết bao nhiêu tiền
Một số thông tin về mẫu nhà 2 tầng giá rẻ ở Nam Định
+ Mẫu biệt thự: BT111018
+ Số tầng: 02
+ Chủ đầu tư: Anh Dương Thành Hưng
+ Địa chỉ: Vụ Bản – Nam Định
+ Mặt tiền: 7.3m
+ Chiều sâu: 15m
+ Kích thước ô đất: 560m2
+ Kiến trúc sư thiết kế: Kiến trúc sư Angcovat – Trần Đức Kiên
+ Năm thi công: 2018
+ Chi phí đầu tư dự kiến: khoảng 1.3 tỷ đồng
+ Thông số diện tích, công năng:
- Tầng 1: Đại sảnh (4m2), phòng khách (20.4m2), phòng ngủ 1 (15m2), phòng bếp (12m2), WC1 (3.5m2), phòng ăn (13.5m2), phòng kỹ thuật (2.6m2), gara (18.2m2)
- Tầng 2: Phòng kho (10m2), phòng ngủ 2 (12m2), WC2 (3.7m2), phòng ngủ 3 (16m2), phòng thờ, sân chơi (18.2m2), WC3 (3.7m2)
Bảng tính vật tư công trình mẫu nhà 2 tầng giá rẻ ở Nam Định
+ Số tầng: 02
+ Diện tích sàn: 110m2
+ Diện tích tổng (bao gồm sảnh, mái): 264m2
+ Trường hợp có hệ mái thái vì kèo = 40% sàn xây dựng

Bằng chữ: Một tỷ ba trăm mười ba triệu đồng
Giá trị tạm tính:
+ Đơn giá trung bình xây dựng cho công trình này là: 5.210.317,46 (Triệu/m2)
+ Trường hợp chỉ làm vì kèo lợp ngói, đóng trần chi phí là: 1.181.700.000,00
+ Trường hợp đổ bê tông mái bằng và mái dốc, chi phí là: 1.444.300.000,00
Kết luận: Về xây nhà 2 tầng 100m2 hết bao nhiêu tiền
Thông qua bài viết của chúng tôi trên đây chắc chắn nhiều bạn đã có thể tính toán được chi phí sơ lược cho ngôi nhà 2 tầng của gia đình mình trong tương lai. Bên cạnh đó, các mẫu nhà 2 tầng đẹp mà chúng tôi đưa ra sẽ là những gợi ý cho bạn để gia đình có thể thiết kế biệt thự 2 tầng đẹp và trả lời được câu hỏi xây nhà 2 tầng 100m2 hết bao nhiêu tiền. Thông thường, với số tiền khoảng từ 1 đến 1.5 triệu đồng, gia đình bạn có thể sở hữu một ngôi biệt thự 2 tầng bề thế, sang trọng. Chúc các bạn sẽ có ngôi nhà đẹp đáng mơ ước
Mọi ý kiến đóng góp và nhu cầu thiết kế nhà ở, các bạn vui lòng liên hệ với kiến trúc sư của chúng tôi để được tư vấn miễn phí.
Hotline: 0988 030 680
Xem thêm: Mẫu nhà phố 1 trệt 2 lầu sân thượng








